Featured Projects
AI/ML projects showcasing reinforcement learning, machine learning pipelines, and intelligent algorithms.

Yelp Hybrid Recommendation System
End-to-end hybrid recommender on 1M Yelp reviews combining ALS collaborative filtering with Random Forest, achieving 1.4292 RMSE.

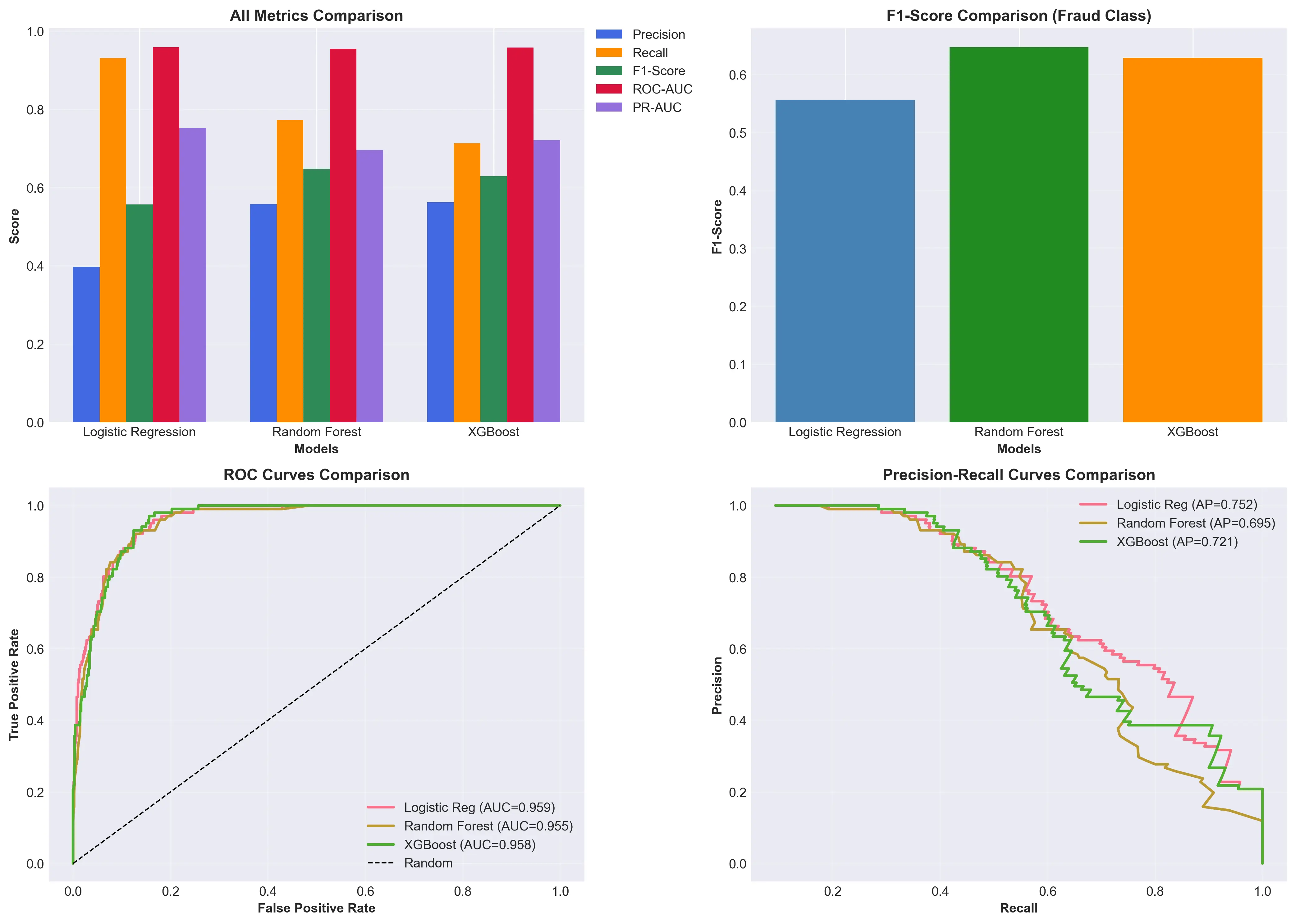
US Healthcare Fraud Detection
Provider-level ML pipeline achieving 95.46% ROC-AUC with Random Forest on Medicare-inspired claims data.

FrozenLake Environment Optimization
Reinforcement learning with MDP and value iteration achieving 100% success rate.

Developer Programming Language Prediction
Complete ML pipeline with cross-validation, grid search, and 77.5% test accuracy.

Delivery Route Optimization
AI search algorithms (BFS, UCS, A*) for logistics with 4x speedup using heuristics.

Advanced Evolution Simulator
A simulation of bipedals that try to learn to walk as humans.
Other Projects
Web applications, tools, and experiments across various technologies.
Kantipur App
Latest ad-free news from Kantipur & The Kathmandu Post.
KURA (Kathmandu University Requests and Answers)
A platform for Kathmandu University students to ask and answer questions.
Quick Sort Visualization
Interactive visualization of the Quick Sort algorithm.
KU (Kathmandu University) BOT
A bot for Kathmandu University students.
Perlin Noise
A tool for generating Perlin noise patterns.
OMGSoundboard
Android Soundboard website with Material Design and finest tunes.
High Fidelity Wireframe
Instructor HQ website UX wireframes designed with Adobe tools.

